哪位高手给我讲一下错位加减法?
的有关信息介绍如下:错位加减法
目的:把分母变简单或者消掉
口诀:错开相同位,加减相同倍步骤诠释
1、简分母
在分母上加减一个值A,使分母变为个位数。
2、定数位
用A的个位去定位分子和分母。分母分子都是从前往后面数,分母在从前往后第几位有效数字加减,分子也在相应的位置加减。
3、寻倍数
口算出值A是分母前两位的a倍 (或-)b
4、同变化
由值A的变化规律同等幅度找到分子前两位的a倍 (-)c应该加减的值B。(一般“a倍”是看前两位,加减的“b”看前一位即可。)
5、算结果
把分子加上或减去值B即是结果(数值B的个位与“定数位”时找到的位置对齐)。

如果数列的各项是由一个等差数列和一个等比数列的对应项之积构成的,那么这个数列的前n项和Sn可用此法来求和。
【典例】:求和Sn=1+3x+5x2+7x3+…+(2n-1)·xn-1(x≠0,n∈N*)
当x=1时,Sn=1+3+5+…+(2n-1)=n2
当x≠1时,Sn=1+3x+5x2+7x3+…+(2n-1)xn-1
∴xSn=x+3x2+5x3+7x4+…+(2n-1)xn
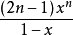
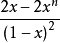
两式相减得(1-x)Sn=1+2(x+x2+x3+x4+…+xn-1)-(2n-1)xn
化简得Sn=
+
- 



