爸爸给失恋女儿的一封信,爸爸写给失恋女儿的一封信
的有关信息介绍如下:我不知道一个父亲是怀着什么心情写的这封信 , 父母三观如此正 他们的女儿三观又能差到哪!
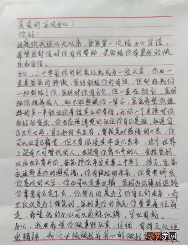
亲爱的宝贝女儿:
你好!
这是你长这么大以来 , 爸爸第一次给女儿写信 , 希望这封信对你有所帮助 , 更能给你带来更多的快乐和自信 。
女儿二十年前你的到来让我成为一位父亲 , 你也一直是爸爸的骄傲 , 爸妈能给你的有限 , 但却把我们的一切都给了你 , 爸妈对你有亏欠 , 但一直在弥补 , 爸妈把你抚养成人 , 却不能照顾你一辈子 , 爸爸希望你选择的另一半能让你幸福 , 真正的幸福 , 无论一个男孩对你多好多爱你 , 你也应该清楚的记住你自己是谁 , 知道你自己几斤几两 , 自己如何去生存 , 背叛是对感情的不忠 , 你可以让自己痛苦 , 但不要沉浸其中走不出来 , 这个世界上没有不可替代的人 , 也没有你离不开的人 , 包括爸妈 , 以后也会离开你 , 爸妈护你平安无事二十年了 , 孩子爸爸永远都是你的避风港 , 你有很好的未来 , 你要考研去你喜欢的大学 , 你也可以走事业编 , 爸妈为你铺好道路 , 你需要自己走下去 , 你努力是为了你自己的未来 , 而不仅仅是为了爸妈 , 爸妈是你的底气你要笑着往前走希望我的女儿可以前程似锦 , 学业有成 。
女儿 , 我希望你做事能认真仔细 , 有持之以恒的精神 , 我们必须做好并用心的做好每件事情 , 在爸爸心中 , 只希望你身体健康 , 快快乐乐的成长 。
宝贝 爸爸妈妈永远爱你
祝:快乐
进步
【爸爸给失恋女儿的一封信,爸爸写给失恋女儿的一封信】爱你的爸爸

文章插图

文章插图



